
Lei publicada hoje trata do salário e das gratificações
LEI COMPLEMENTAR Nº 1.250,
DE 28 DE MAIO DE 2014
Dispõe sobre a reclassificação dos vencimentos
e salários dos servidores integrantes das classes
de natureza permanente regidas pela Lei
Complementar nº 1.080, de 17 de dezembro de
2008, alterada pela Lei Complementar nº 1.158,
de 2 de dezembro de 2011, e dá outras providências
correlatas
O GOVERNADOR DO ESTADO DE SÃO PAULO:
Faço saber que a Assembleia Legislativa decreta e eu promulgo
a seguinte lei complementar:
Artigo 1º – Os vencimentos e salários dos servidores
integrantes das classes pertencentes às escalas de vencimentos
adiante indicadas, a que se refere o artigo 46, inciso II, alíneas
“a”, “b” e “c”, da Lei Complementar nº 1.080, de 17 de dezembro
de 2008, alterado pelo artigo 1º da Lei Complementar nº
1.158, de 2 de dezembro de 2011, em decorrência de reclassificação,
ficam fixados de acordo com os anexos que integram esta
lei complementar, na seguinte conformidade:
I – Anexo I, Escala de Vencimentos - Nível Elementar;
II – Anexo II, Escala de Vencimentos - Nível Intermediário;
III – Anexo III, Escala de Vencimentos - Nível Universitário.
Artigo 2º - O Subanexo 1, do Anexo XVII a que se refere
a alínea “b” do inciso I do artigo 38 da Lei Complementar nº
1.080, de 17 de dezembro de 2008, substituído pelo Subanexo
1, do Anexo V, a que se refere o artigo 2º da Lei Complementar
nº 1.158, de 2 de dezembro de 2011, fica substituído pelo Anexo
IV desta lei complementar.
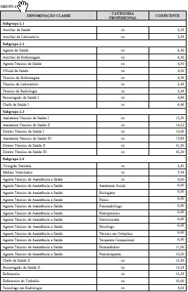
Artigo 3º – O Prêmio de Desempenho Individual – PDI,
instituído pelo artigo 3º da Lei Complementar nº 1.158, de 2
de dezembro de 2011, será determinado com base nos coeficientes
fixados na conformidade do Anexo V que integra esta
lei complementar.
Artigo 4º – O Anexo I a que se refere o “caput” do artigo
2º da Lei Complementar nº 1.104, de 17 de março de 2010,
substituído pelo Anexo XV, a que se refere o artigo 59 da Lei
Complementar nº 1.157, de 2 de dezembro de 2011, fica substituído
pelo Anexo VI desta lei complementar.
Artigo 5º – O Anexo a que se refere o “caput” do artigo
2º da Lei nº 14.169, de 30 de junho de 2010, substituído pelo
Anexo XVI, a que se refere o artigo 60 da Lei Complementar nº
1.157, de 2 de dezembro de 2011, fica substituído pelo Anexo VII
desta lei complementar.
Parágrafo único – Vetado.
Artigo 6º – O Anexo X a que se refere o artigo 19 da Lei
Complementar nº 1.157, de 2 de dezembro de 2011, fica substituído
pelo Anexo VIII desta lei complementar.
Artigo 7º – Os dispositivos adiante mencionados passam a
vigorar com a seguinte redação:
I – da Lei nº 8.975, de 25 de novembro de 1994:
a) o artigo 2º, com redação dada pelo artigo 2º da Lei nº
9.463, de 19 de dezembro de 1996:
“Artigo 2º - O Prêmio de Incentivo será calculado mediante
a aplicação de coeficientes sobre a Unidade Básica de Valor –
UBV, instituída pelo artigo 33 da Lei Complementar nº 1.080, de
17 de dezembro de 2008, observada a jornada de trabalho a que
estiver sujeito o servidor.
§1º - Os coeficientes de que trata o “caput” deste artigo
serão fixados em decreto, mediante proposta do Secretário da
Saúde, ouvida a Secretaria de Gestão Pública.
§2º - O Prêmio de Incentivo será pago na conformidade
do resultado obtido em Processo de Avaliação de Desempenho
Individual, levando-se em consideração a atuação pessoal do
servidor no desempenho de suas atividades, observados os
níveis de enquadramento do cargo ou da função-atividade.
§3º - O Processo de Avaliação de Desempenho Individual,
de que trata o §2º deste artigo, será realizado anualmente,
de acordo com normas e critérios a serem estabelecidos em
decreto, mediante proposta do Secretário da Saúde, ouvida a
Secretaria de Gestão Pública.” (NR);
b) o artigo 5º, com redação dada pelo artigo 39 da Lei
Complementar nº 1.193, de 2 de janeiro de 2013:
“Artigo 5º - As importâncias pagas a título de Prêmio de
Incentivo serão cobertas nos termos do inciso II do artigo 4º
da Lei Complementar nº 204, de 20 de dezembro de 1978, com
recursos intergovernamentais repassados, mensalmente, ao
Fundo Estadual de Saúde – FUNDES.
§ 1º - As despesas de que trata este artigo poderão onerar,
mensalmente, até 50% (cinquenta por cento) dos recursos
repassados ao Fundo Estadual de Saúde.
§ 2º - No cômputo do limite a que se refere o § 1º deste
artigo serão consideradas as despesas de outros prêmios que
venham a ser instituídos para os fins de que trata o artigo 1º
desta lei, na forma disciplinada na lei que os houver instituído.”
(NR);
II – o artigo 12 da Lei Complementar nº 847, de 16 de julho
de 1998, alterado pelo artigo 43, inciso VII, da Lei Complementar
nº 1.080, de 17 de dezembro de 2008:
“Artigo 12 - A Gratificação pelo Desempenho de Atividades
no POUPATEMPO - GDAP, será calculada mediante a aplicação
dos coeficientes adiante mencionados sobre a Unidade Básica
de Valor - UBV:
I – 10,58 (dez inteiros e cinquenta e oito centésimos) para
as atividades a que se refere o artigo 5º desta lei complementar;
II – 8,96 (oito inteiros e noventa e seis centésimos) para
as atividades a que se refere o inciso I do artigo 6º desta lei
complementar.” (NR);
III – da Lei Complementar nº 1.080, de 17 de dezembro
de 2008:
a) os incisos II e III do artigo 12:
“Artigo 12 - ...
II – Escala de Vencimentos - Nível Intermediário, constituída
de 3 (três) referências e 10 (dez) graus;
III – Escala de Vencimentos - Nível Universitário, composta
de 2 (duas) Estruturas de Vencimentos, sendo a Estrutura I constituída
de 3 (três) referências e 10 (dez) graus, e a Estrutura II
constituída de 3 (três) referências e 10 (dez) graus;”(NR);
b) o artigo 26, alterado pelo inciso II do artigo 2º da Lei
Complementar nº 1.199, de 22 de maio de 2013:
“Artigo 26 – Para efeito do disposto no inciso I do artigo 24
desta lei complementar serão considerados efetivo exercício os
seguintes afastamentos:
I – nomeado para cargo em comissão ou designado, nos
termos da legislação trabalhista, para exercício de funçãoatividade
em confiança;
II – designado para função retribuída mediante gratificação
“pro labore”, a que se referem os artigos 16 a 18 desta lei
complementar;
III – designado para função de serviço público retribuída
mediante “pro labore”, nos termos do artigo 28 da Lei nº
10.168, de 10 de julho de 1968;
IV – designado como substituto ou para responder por
cargo vago de comando;
V – afastado nos termos dos artigos 65 e 66 da Lei nº
10.261, de 28 de outubro de 1968, sem prejuízo de vencimentos,
junto a órgãos da Administração Direta ou Autárquica do Estado;
VI – afastado nos termos dos artigos 67, 78, 79 e 80 da Lei
nº 10.261, de 28 de outubro de 1968;
VII – afastado nos termos do inciso I do artigo 15, da Lei
nº 500, de 13 de novembro de 1974, desde que sem prejuízo
dos vencimentos, junto a órgãos da Administração Direta e
Autárquica do Estado;
VIII – afastado nos termos dos artigos 16 e 17 da Lei nº 500,
de 13 de novembro de 1974;
IX – afastado, sem prejuízo dos vencimentos ou salários,
para participação em cursos, congressos ou demais certames
afetos à respectiva área de atuação, pelo prazo máximo de 90
(noventa) dias;
X – afastado nos termos do §1º do artigo 125 da Constituição
do Estado de São Paulo;
XI – afastado nos termos da Lei Complementar nº 367, de
14 de dezembro de 1984, alterada pela Lei Complementar nº
1.054, de 7 de julho de 2008;
XII – licenciado para tratamento de saúde, no limite de 45
(quarenta e cinco) dias por ano;
XIII – ausente em virtude de consulta ou sessão de tratamento
de saúde, nos termos da Lei Complementar nº 1.041, de
14 de abril de 2008.” (NR);
c) o artigo 28:
“Artigo 28 – Promoção é a passagem do servidor de uma
referência para outra superior da respectiva classe, mantido o
grau de enquadramento, devido à aquisição de competências
adicionais às exigidas para ingresso no cargo de que é titular ou
função atividade de que é ocupante.” (NR);
d) o artigo 29:
“Artigo 29 – A promoção permitirá a elevação de referência,
dos servidores integrantes das seguintes classes:
I – Escala de Vencimentos - Nível Intermediário:
a) Oficial Administrativo;
b) Oficial Operacional;
c) Oficial Sociocultural;
II – Escala de Vencimentos - Nível Universitário – Estrutura
I e Estrutura II:
a) Analista Administrativo;
b) Analista de Tecnologia;
c) Analista Sociocultural;
d) Executivo Público.
Parágrafo único – A elevação de referência para os integrantes
das classes a que se refere este artigo dar-se-á:
1 - de 1 para 2;
2 - de 1 para 3;
3 - de 2 para 3.” (NR);
e) o artigo 30:
“Artigo 30 - São requisitos para fins de promoção:
I – ser declarado estável após 3 (três) anos de efetivo
exercício;
II – contar, no mínimo, 5 (cinco) anos de efetivo exercício
no mesmo cargo ou função-atividade pertencente às classes
identificadas no artigo 29 desta lei complementar;
III – ser aprovado em avaliação teórica ou prática para aferir
a aquisição de competências necessárias ao exercício de suas
funções na referência superior;
IV – possuir:
a) diploma de graduação em curso de nível superior, para os
integrantes das classes referidas no inciso I, do artigo 29 desta
lei complementar, quando da promoção para a referência 3;
b) pós-graduação “stricto” ou “lato sensu”, para os integrantes
das classes referidas no inciso II, do artigo 29 desta lei
complementar, quando da promoção para a referência 3.” (NR);
IV – o § 2º do artigo 2º da Lei nº 14.169, de 30 de junho
de 2010:
“Artigo 2º - ........................................................................
.....................
§ 2º - Os servidores afastados para o IAMSPE, nos casos
de titulares de cargos e ocupantes de funções atividades ou
de empregos públicos não previstos no Anexo de que trata o
“caput” deste artigo, farão jus à percepção da GDAMSPE, de
acordo com o nível de escolaridade ou as habilidades profissionais
exigidos em lei para a investidura, mediante aplicação dos
seguintes coeficientes:
1 - ensino fundamental: 3,05 (três inteiros e cinco centésimos);
2 - ensino médio ou técnico: 3,25 (três inteiros e vinte e
cinco centésimos);
3 - ensino superior: 7,03 (sete inteiros e três centésimos).”
(NR);
V – o artigo 4º da Lei Complementar nº 1.199, de 22 de
maio de 2013:
“Artigo 4º – Aos servidores que incorporaram à sua retribuição
décimos da Gratificação pelo Desempenho de Atividades
no POUPATEMPO - GDAP, com fundamento no artigo 18 da Lei
Complementar nº 847, de 16 de julho de 1998, em coeficiente
definido no inciso III do artigo 12 da referida lei complementar,
em sua redação original, terão esses décimos calculados
mediante a aplicação do coeficiente 7,33 (sete inteiros e trinta
e três centésimos) sobre a Unidade Básica de Valor – UBV, instituída
pelo artigo 33 da Lei Complementar nº 1.080, de 17 de
dezembro de 2008.” (NR)
Artigo 8º - Fica incluído o §4º no artigo 19, da Lei Complementar
nº 1.157, de 2 de dezembro de 2011, na seguinte
conformidade:
“§4º - Em caráter excepcional, a gratificação de que trata
o “caput” deste artigo poderá ser concedida aos servidores
em exercício em unidades nas demais Secretarias de Estado e
Autarquias, observadas as condições a serem estabelecidas em
regulamento próprio.”.
Artigo 9º – Esta lei complementar aplica-se, no que couber,
aos inativos e pensionistas.
Artigo 10 – As despesas resultantes da aplicação desta lei
complementar correrão à conta das dotações próprias consignadas
no orçamento vigente, suplementadas se necessário.
Artigo 11 – Esta lei complementar e suas Disposições Transitórias
entram em vigor na data de sua publicação, produzindo
efeitos a partir de 1º de agosto de 2014, ficando revogados:
I – o inciso V do artigo 4º da Lei nº 7.524, de 28 de outubro
de 1991;
II – o parágrafo único do artigo 18 da Lei Complementar nº
1.080, de 17 de dezembro de 2008.
Disposições Transitórias
Artigo 1º – Até que seja editado o decreto a que aludem os
§§ 1º e 3º do artigo 2º da Lei nº 8.975, de 25 de novembro de
1994, com nova redação dada pelo artigo 2º da Lei nº 9.463, de
19 de dezembro de 1996, pela alínea “a” do inciso I do artigo
7º desta lei complementar, permanecem vigentes as bases, os
termos e as condições atuais para a concessão do Prêmio de
Incentivo.
Artigo 2º – Os atuais servidores integrantes das classes
previstas no artigo 29 da Lei Complementar nº 1.080, de 17 de
dezembro de 2008 com redação dada por esta lei complementar,
que se encontram enquadrados na referência 2, em virtude de
promoção, terão os respectivos cargos ou funções-atividades
enquadrados na seguinte conformidade:
I – no grau que se encontrava enquadrado antes da passagem
da referência 1 para a referência 2, cujos efeitos retroagirão
às datas de vigências das promoções, quando for o caso;
II – no grau que eventualmente o servidor tenha obtido
mediante progressões posteriores à passagem para a referência
2, a partir do grau de enquadramento nos termos do inciso I;
III – na referência 3, mantido o grau de enquadramento
apurado nos termos do inciso II, a partir da vigência desta lei
complementar.
Palácio dos Bandeirantes, aos 3 de julho de 2014.
GERALDO ALCKMIN








